Data 311: Machine Learning

Lecture 12: Bootstrap

Dr. Irene Vrbik

University of British Columbia Okanagan

Introduction

  • Last lecture we saw a resampling method called cross-validation (CV) for estimating test error.

  • Today we look at a closely related resampling method called the bootstrap.

  • The bootstrap can be used to quantify the uncertainty associated with a given estimator1 or statistical learning method.

Motivation

  • Sometimes it is possible to work out things like bias and standard error (SE) of an estimator in closed form.

  • For example the standard error of \(\overline X\), the estimator for the mean of a normally distributed population with having (unknown population) mean \(\mu\) and variance \(\sigma\), is \[\text{SE}(\overline X) = \frac{\sigma}{\sqrt{n}}\]

Sampling Distribution of \(\overline X\)

More specifically if \(X_i\) are i.i.d1 Normal(\(\mu\), \(\sigma^2\)), then \(\overline X=\frac{1}{n}\sum_{i=1}^n X_i\) has the sampling distribution given by:

\[ \overline X \sim \text{Normal}(\mu, \frac{\sigma}{\sqrt{n}}) \]

Recall that the standard error of an estimator simply refers to the standard deviation of the sampling distribution of that estimator.

Sampling Distribution

  • Generally speaking a sampling distribution is the probability distribution of a statistic (or estimator) that is obtained through repeated sampling of a specific population.

  • In simulations, we could generate large number of samples and record the value of the statistic of interest to obtain an empirical estimate of the sampling distribution.

  • In many contexts, only one sample is observed, but the sampling distribution can be found theoretically.

Simulated Sampling Distribution

The sample mean from 1000 random samples drawn from a standard normal N(0,1) ares saved and plotted in a histogram

Theoretical Sampling Distribution

… which is a pretty good approximation of the theoretical sampling distribution (plotted curve in red):

Why Bootstrap?

  • In practice, resampling from the population is costly so we’re usually just stuck with a single sample.

  • Furthermore the sampling distribution may not be known.

  • Whether or not this closed form solution is available for your estimator, the bootstrap can be used for estimating the standard errors and bias of parameter estimates.

  • This makes the bootstrap an extreme flexible and powerful statistical tool.1

Steps

Consider some estimator \(\hat \alpha\). For \(j = 1, 2, \dots B\) 1

  1. take a random sample of size2 \(n\) from your original data set with replacement. This is the \(j\)th bootstrap sample, \(Z^{*j}\)
  2. calculate the estimated value of your parameter from your bootstrap sample, \(Z^{*j}\), call this value \(\hat \alpha^{*j}\).

Estimate the standard error and/or bias of the estimator, \(\hat \alpha\), using the equations given on the upcoming slides.

Sample with replacement

Like CV, this method will involve sampling from our data set, only now, we will be sampling with replacement.

Bootstrap/full Estimates

Bootstrap Standard Error

Bootstrap estimates the standard error of estimator \(\hat \alpha\) using1

\[\begin{equation} \hat{\text{SE}}(\hat \alpha) = \sqrt{\frac{\sum_{i=1}^{B} (\hat \alpha^{*i} - \overline{\hat \alpha})^2}{B -1}} \end{equation}\]

where \(\overline{\hat \alpha} = \sum_{j = 1}^B \hat \alpha^{*j}\) is the average estimated value over all \(B\) bootstrap samples.

Bootstrap Bias

The bootstrap estimates the Bias of estimator \(\hat \alpha\) using:

\[\begin{align} \hat{\text{Bias}}(\hat \alpha) = \overline {\hat \alpha} - \hat \alpha_f \end{align}\]

where \(\overline{\hat \alpha} = \sum_{j = 1}^B \hat \alpha^{*j}\) and \(\hat \alpha_f\) is the estimate obtained on the original data set.

Regression Example

We simulate 30 observations from a simple linear regression model with intercept \(\beta_0 = 0\) and slope \(\beta_1 = 2\). That is: \[Y = 2X + \epsilon\] where \(\epsilon \sim N(0, 0.25^2)\).

N.B. For ease of notation in the bootstrap section, I will denote \(\beta_1\) (and \(\hat \beta_1\)) by simply \(\beta\) (and \(\hat \beta\)).

Data Generation

We generate a single sample from our population here:

set.seed(123978)
n = 30
beta1 = 2
sigma = 0.25 
x <- runif(n, 0, 1)
y <- beta1*x + rnorm(n, sd=sigma)
xy <- cbind(x,y)

Summary of Fit

And fit a simple linear regression model:

fullfit <- lm(y~x) 
(sfit <- summary(fullfit))
...

Residuals:
     Min       1Q   Median       3Q      Max 
-0.42643 -0.12515 -0.00374  0.14243  0.36260 

Coefficients:
            Estimate Std. Error t value Pr(>|t|)    
(Intercept)  0.05798    0.07773   0.746    0.462    
x            1.86641    0.14348  13.008 2.17e-13 ***
---
Signif. codes:  0 '***' 0.001 '**' 0.01 '*' 0.05 '.' 0.1 ' ' 1

Residual standard error: 0.2213 on 28 degrees of freedom
Multiple R-squared:  0.858, Adjusted R-squared:  0.8529 
F-statistic: 169.2 on 1 and 28 DF,  p-value: 2.172e-13
...

Sampling Distribution of \(\hat \beta_1\)

It can be shown that the sampling distribution of \(\hat \beta_1\) is given by a normal distribution centered at the true value, and standard error given below

\[\begin{align} \hat\beta_1 &\sim \text{Normal}\left(\beta_1, \dfrac{\sigma^2}{S_{xx}}\right) & \text{where } S_{xx} = \sum_{i=1}^n (x_i - \overline x)^2 \end{align}\]

Note that this is an unbiased with known standard error!

Theoretical Bias and SE

In other words our we are using an unbiased estimator for slope (bias = 0) with the following theoretical standard error:

sxx <- sum((x - mean(x))^2)
(true.seb = sqrt(sigma^2/sxx))
[1] 0.162064
\[\begin{align} SE(\hat\beta_1)& = \sqrt{\dfrac{\sigma^2}{S_{xx}}} = \sqrt{\dfrac{0.25^2}{2.38}} = 0.1621 \end{align}\]

Estimates for a single fit

Notice that our summary output provides an estimate of the standard error of \(\hat \beta_1\) from the summary of the lm output (calculated using):

\[\hat{SE}(\hat\beta_1)=\sqrt{\frac{\sum_i\hat\epsilon_i^2}{(n-2)\sum_i(x_i-\bar x)^2}} = 0.1435\]

Since we’ll need this later, note the following estimate on the original data: \(\hat \beta_1 = 1.8664\) (we’ll call this \(\hat\beta_f\) later)

Bootstrap Simulation

  • While it is a fairly routine to arrive at these equations, this might not be the case for more complicated scenarios.

  • As an exercise, let’s pretend that we do not know what the standard error and bias of our estimator \(\hat \beta_1\) is.

  • Instead, let’s estimate the bias (which we know should be 0 since \(\hat \beta_1\) is and unbiased estimator) and standard error using the bootstrap method.1

R code

set.seed(311)
bootsamp <- list()
bootsmod <- list()
bootcoef <- NA
B = 1000 # number of bootstrap samples to be taken
for(i in 1:B){
  Zj <- xy[sample(1:n, n, replace=TRUE),]
  bootsamp[[i]] <- Zj # store our bootstrap samples in a list
  bootsmod[[i]] <- lm(Zj[,2]~Zj[,1])
  bootcoef[i] <- bootsmod[[i]]$coefficient[2] # ^betaj
}

Bootstrap Estimate for Bias

We now have \(B = 1000\) estimates for \(\beta\) stored in bootcoef = \(\{\hat \beta^{*1},\hat \beta^{*2}, \dots, \hat \beta^{*1000}\}\) and the following values

\[\begin{gather} \overline{\hat \beta} = \sum_{j = 1}^{B = 1000} \hat \beta^{*j} = 1.8704 \quad \hat \beta_f = 1.86641 \\ \text{Bias}(\hat \beta) = \overline {\hat \beta} - \hat \beta_f = 1.8704 - 1.8664 = 0.004 \end{gather}\]

where \(\beta_f\) is obtained from the summary of fit on the full (i.e. original unbootstraped) data.

Bootstrap Estimate for SE

And the estimate for SE is given by this:

(seb = sqrt(sum((bootcoef - mean(bootcoef))^2)/(B-1)))
[1] 0.1543347
sd(bootcoef) # equivalent to the above
[1] 0.1543347
\[\begin{align} \hat{\text{SE}}(\hat \beta) &= \sqrt{\frac{\sum_{i=1}^{B} (\hat \beta^{*i} - \overline{\hat \beta})^2}{B -1}} = 0.1543 \end{align}\]

Bootstrap vs Theoretical SE(\(\hat\beta_1\))

  • The bootstrap estimate (=0.1543) is closer to the theoretical value (=0.1621) that the estimate obtained in the lm summary table from the (single) original data set (= 0.1435).

More importantly, this estimate was created with no knowledge of the theoretical sampling distribution!!

  • Had we not known the theoretical sampling distribution for \(\hat \beta_1\) the bootstrap enables us to construct confidence intervals, perform hypothesis test (calculate \(p\)-values!)

Bootstrap vs Simulation-based SE(\(\hat\beta_1\))

  • For fun, let’s compare this estimate to the simulation-based method which allows us to resample from this population many many times, …
for(i in 1:1000){
  newx <- runif(30, 0, 1)                     # generate a new sample
  newy <- 2*newx + rnorm(30, sd=0.25)         # for each iteration
  sample.i <- cbind(newx, newy)
  modnew[[i]] <- lm(sample.i[,2]~sample.i[,1])
  coefs[i] <- modnew[[i]]$coefficients[2]     # save estimate for beta1
}

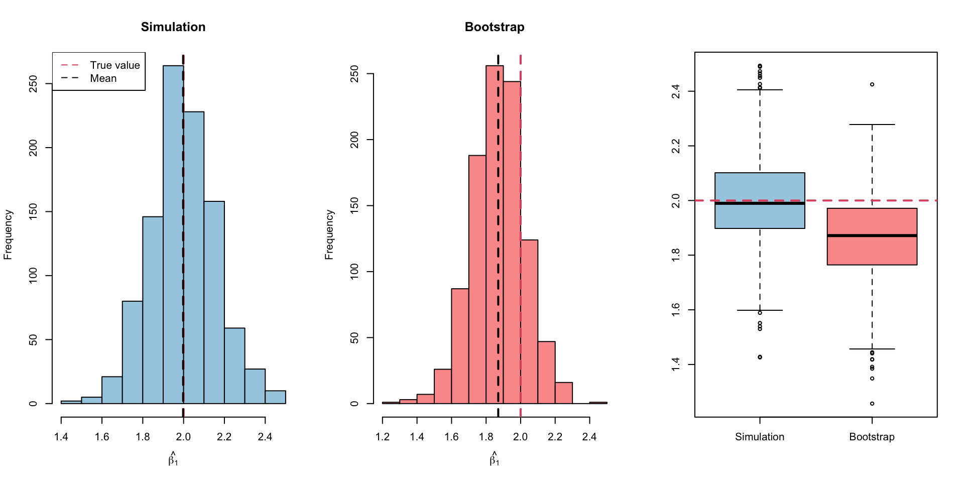
Results (Visual)

Results (Table)

SE estimates from the simulation and the bootstrap simulation are very similar to each other and the theoretical value (=0.162)

Estimate/ R Code Description
0.143 = from output table summary(fullfit) Estimate from a single fit on the full data
0.154 = sd(bootcoef) Bootstrap estimate obtained from 1000 bootstrap samples
0.160 = sd(coefs) Standard errors obtained from resampling from the population 1000 times.

Comments

  • Note that the center of the bootstrap histogram is centered at \(\hat \beta_f\), the estimate obtained using the full data, rather than at \(\beta_1 = 2\) (the true simulated value).

  • While we will use the bootstrap to estimate the SE of our estimator, typically the point estimate will be given by the estimate obtained using the full data, rather than say the mean of the bootstrap estimates.

Taking it Further

  • We alluded to the potential of computing confidence intervals (CI) with the bootstrap.

  • We already saw how the \(B\) bootstrap estimates of parameter \(\alpha\) provide an empirical estimate of the sampling distribution of estimator \(\hat \alpha\).

  • To obtain confidence intervals from this empirical distribution, we would simply finding appropriate percentiles.

Bootstrap Confidence Intervals (CI)

For our example, the 95% bootstrap CI for \(\beta_1\) would correspond to the 25th value and the 975th value of the sorted bootstrap estimates.

quantile

These values can be found using the quantile() function:

quantile(bootcoef, .025) ; quantile(bootcoef, 1-.025) 
    2.5% 
1.567437 
   97.5% 
2.182977 

Estimated CI

So we have a 95% CI for true \(\beta_1\) lying within the interval: \[(1.5674, 2.183)\]

Quote

Statistical ‘rock star’ wins coveted international prize

The bootstrap is rarely the star of statistics, but it is the best supporting actor (Dr. Bradley Efron)

You can hear Dr. Brad Efron speak about the bootstrap here.

Dr. Efron gives a nice interview with the ILSR authors here.